【干货!】冲击波治疗效果,到底跟哪些参数有关?

冲击波治疗效果,到底跟哪些参数有关?

很多人做冲击波治疗,只关心“疼不疼”“力量大不大”。 

但真正决定疗效的,是一套核心物理参数。 

下面把最重要的 7 个治疗参数讲清楚,让你一次看懂冲击波为什么有效!

1. 压缩声压峰值(Positive Peak Pressure, P⁺)

代表:冲击波“压缩”阶段的最高压力值。

    冲击波是“急剧升高 → 急剧降低”的波。 

    前半段是“压缩”,压力瞬间升高。 

    压缩声压峰值越高,意味着冲击波峰值冲击力更强,组织受到的瞬时机械刺激更高。 


临床意义: 

    与 刺激痛点、打散病理组织、释放粘连 的效果相关。 

    也是患者“感觉到冲击力”的主要来源。 







图 3.3 

冲击波源束轴线垂直的 xy 平面上记录的平均峰值正压值图。

图3.4

(1)体外冲击波碎石术中使用的冲击波的压力分布;

(2)典型诊断性超声脉冲的压力波形

可见,超声和冲击波是完全不同的两种波!

图3.6

(1)体外冲击波碎石术中使用的冲击波的压力分布示意图;

(2)弹道发散式冲击波装置(弹道源)发出的压力波形示意图

可见,发散式冲击波(实为压力波)和冲击波是完全不同的两种波!

1.膨胀声压峰值(Negative Peak Pressure, P⁻)

2.代表:冲击波“膨胀”(负压)阶段的最低压力值。 

    冲击波进入负压期,会产生“拉伸力量”,类似组织内瞬间形成小的牵张。 

    膨胀声压峰值越低(负压越强),越容易产生: 

        空化效应(cavitation) 

        促进微循环 

        进一步刺激细胞修复反应 

临床意义: 

    与 促进血流、改善代谢、加速修复 更密切。 

    负压太弱,冲击波生物刺激效果会下降。 

1.压力脉冲宽度(Pulse Duration / Pulse Width) 

2.代表:一个冲击波脉冲从开始到结束的时间长度。 

更简单的说: 

    每一次“冲击”持续了多长时间。 

高质量的电磁聚焦冲击波通常具有极短的脉冲宽度(几微秒级)。 

    短 → 冲击更锐利、更集中 

    长 → 冲击更钝、更像“推一下” 

临床意义: 

    脉冲宽度影响 能量密度(ED+)、穿透深度、疼痛感受。 

    短而急的脉冲 → 集中破坏性强,刺激更明显。 

    宽而平的脉冲 → 更温和,更适合敏感患者或浅层区域。

1.压力脉冲上升时间(Rise Time)

2.

代表:压力从0上升到峰值所花的时间。 


也就是冲击波“来得有多快”。 

上升时间越短,冲击波越“锋利” 

上升时间越长,冲击波越“柔” 


临床意义: 

    极短的上升时间是“真正的冲击波”的关键指标。 

    上升时间短 → 

    组织受更强的瞬时刺激 

    疗效更强(特别是骨性病变、筋膜点) 

    上升时间长 → 

    更像压力波、敲击感 

    治疗深层效果较弱 

1.最大焦域宽度(Max Focal Zone Width) 

2.代表:设备在焦点附近形成的“最宽的有效作用区域”。 

    换句话说: 

    冲击波在最强作用区(焦点)附近,能量分布的“最大直径/范围”。 

    类比: 

    像手电筒光在最亮的地方附近,光圈最宽能覆盖多大范围。 

临床意义: 

    最大焦域宽度越大 → 覆盖面积越广,容错率高,不需要非常精准对位 

    更适合肌肉群、筋膜等较大范围的治疗 

    但太大也会让能量更“分散” 

1.正焦域宽度(Positive Focal Zone Width) 

2.代表:冲击波在“正压区域”(即压缩相)内,能量密度达到一定阈值的“有效宽度”。 

    也就是: 

    真正能产生“治疗级正压刺激”的那一区域宽度 ”比“最大焦域宽度”更精确、更能反映设备实力。 

    类比: 

    手电筒光圈中,“最亮中心区”的直径。 

临床意义: 

正焦域宽度越窄 → 更聚焦、穿透强、适合深层、小病灶 

正焦域宽度越宽 → 更温和、覆盖面更大、适合表浅和面积较大病灶 

在几何声学中,声波的处理方式与光学中光线的处理方式类似;然而,这种简化的理论仅在某些特定情况下有效。根据定义,几何焦点是来自冲击波源或聚焦元件(透镜或反射器)的假想光线会聚的点。根据几何声学,在电液式体外碎石机中,F2 是所有在 F1 处产生并经椭球反射器反射的光线汇聚的点(图 3.8)。由于电液式 Dornier HM3 碎石机的普及,电磁和压电冲击波发生器的几何焦点有时也被称为 F2。这种说法没有意义,因为只有当使用平行椭球反射器聚焦冲击波时,才会存在第二个焦点。利用几何声学定律可以计算几何焦点的位置;然而,在实际情况下,冲击波并不会聚焦于一点(Eliasson 2007)。

图 3.9 

显示了沿垂直于冲击波源光束轴线的轴线方向的压力随距离的变化,并展示了 -6 dB、10 MPa 和 5 MPa 焦点区域尺寸的差异。此处任意选取峰值正压 p+ 为 80 MPa 作为示例。

1.能量通量密度,能流密度 (EFD) 

代表:每一个冲击波脉冲所携带的“总能量”。一般以 mJ 或 mJ/mm² 表示。 

    这是冲击波治疗效果的最关键指标之一。 

    由多个参数共同决定,包括: 

压缩声压峰值(正压) 

膨胀声压峰值(负压) 

脉冲宽度 

波形 

频率 

    通俗解释: 

    一次冲击能“做多少事”(打散组织、刺激细胞、促进修复)。 

临床意义: 

能量越高 → 穿透深、刺激强、适合骨性病、钙化 

能量越低 → 更舒适、适合软组织、表浅区域 

决定了冲击波的“治疗级别”,是对比机器的重要指标

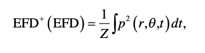
表征冲击波源的一个重要参数是能量通量密度 (EFD),有时也称为能量通量、能量密度或脉冲强度积分 (PII) (Chitnis 2002; Cleveland 和 McAteer 2007)。它以 mJ/mm² 表示,通过将声能除以面积得到,即定义为单位面积上每个脉冲传输的能量。这种能量集中度的度量非常有用,因为冲击波的治疗效果在一定程度上取决于能量是分布在广阔的区域还是集中在较小的治疗区域。为了获得 EFD,需要记录不同点的压力分布。由于 SWL 中使用的压力场以及许多 ESWT 设备产生的压力场具有圆形对称性,因此使用极坐标通常很方便。x-y 平面上特定点 (r,θ) 的 EFD 是瞬时强度的积分:


总结一下!

冲击波疗效好不好,不是声音大不大,而是能量是否真正“集中、有力、深入”。 

这些参数共同决定治疗是否能: 

打到位!

打得准!

打得深!

打得对组织有效!

治疗后恢复快!